低酸素トレーニングの効果
2025-12-04 09:44:31

新たな健康法!低酸素トレーニングで肥満・高コレステロール改善の可能性

新たな健康法!低酸素トレーニングで肥満・高コレステロール改善の可能性



最近、低酸素トレーニングが肥満や高コレステロール血症に対し、効果的な改善手法であることが明らかになってきました。国際研究によると、1ヶ月の低酸素トレーニングによって、脂質プロファイルが顕著に改善され、体脂肪の減少も報告されています。特に、不飽和脂肪酸やトリグリセリドといった重要な指標が大幅に改善されています。

低酸素トレーニングとは?


低酸素トレーニングは、通常の酸素環境ではなく、酸素濃度が低い環境で行う運動です。これにより体が低酸素状態に慣れ、さまざまな生理機能が向上すると言われています。このトレーニング法は、アスリートのパフォーマンス向上に使われるだけでなく、一般の人々にも健康改善の道を開く可能性を秘めています。

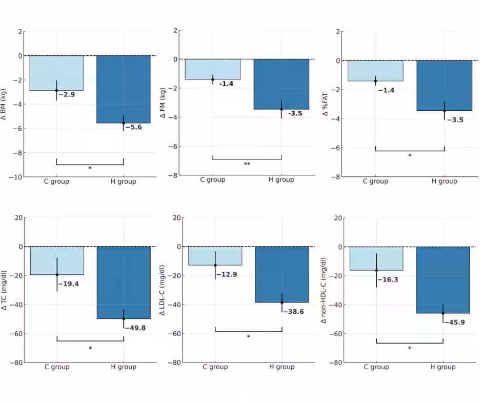
研究結果の概要


最近発表された研究によりますと、低酸素環境での運動が、通常の酸素濃度下でのトレーニングと比較して、より効果的な結果をもたらすことが示されました。特に、体重の減少は5.4%に達し、体脂肪量も14.7%減少。また、総コレステロールは22.6%、LDL-Cは25.8%も低下しました。これらの数値は、低酸素トレーニングの有効性を示す強力な証拠です。

社会背景と生活習慣病


日本では、成人の約3分の1が高コレステロール血症に悩まされているとされ、これが多くの生活習慣病のリスク要因になっています。そのため、生活習慣の見直しが重要視されていますが、従来の食事制限や運動は忙しい現代人にとって続けにくい場合が多いです。そこで、低酸素トレーニングのような新しいアプローチが求められています。このトレーニング法は短時間かつ低負荷で行えるため、忙しい人々にも適しています。

低酸素トレーニングの実績


ハイアルチでは、この低酸素トレーニングを多くの一般ユーザーにも提供しています。週に1回30分のトレーニングで、運動が苦手な方でも気軽に参加できるプログラムを実施。健康改善を目的としたプログラムは、体脂肪や血糖値を整える効果が期待されています。

共同研究の成果


山梨学院大学との共同研究では、低酸素環境下でのウォーキングが血糖値のコントロールにも有意な効果を示しました。この結果は、低強度の運動でも良好な結果が得られることを示しており、日常生活の中で手軽に実践できる可能性があります。

まとめ


低酸素トレーニングは、肥満や高コレステロール血症の改善に向けた新しい非薬物介入の選択肢として注目されています。最近の研究により、その有効性が科学的に裏付けられ、日常生活に取り入れやすい形式で提供されています。これにより、健康維持や生活習慣病の予防を目指す多くの人々に希望を与えることでしょう。

興味のある方は、ぜひハイアルチのプログラムを体験してみてはいかがでしょうか。健康は選択で変えられる時代です。


画像1

画像2

画像3

画像4

画像5

画像6

画像7

関連リンク

サードペディア百科事典: 低酸素トレーニング 肥満改善 高コレステロール

トピックス(グルメ)

【記事の利用について】

タイトルと記事文章は、記事のあるページにリンクを張っていただければ、無料で利用できます。
※画像は、利用できませんのでご注意ください。

【リンクついて】

リンクフリーです。